- 閱讀權限
- 10
- 最後登錄
- 15-9-28
- 精華
- 0
- UID
- 1985343
- 帖子
- 43
- 積分
- 43
- 註冊時間
- 10-12-11
- 在線時間
- 13 小時

- UID
- 1985343
- 帖子
- 43
- 積分
- 43
- Good
- 0
- 註冊時間
- 10-12-11
- 在線時間
- 13 小時
|
有幾條數學唔識做,身邊又冇人可以問到,眼見就來要交,有點兒想喊...請各位多多幫忙一下,在下不勝感激﹗﹗﹗
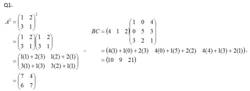
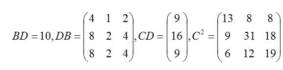
Q1. Given the following matrices:
A =1 2 , B = (4 1 2) , C =1 0 4 and D =1
3 1 3 2 1 2
0 5 3 2
Evaluate
(a) A2 , BC and BD.
(b) DB, CD and C2 .
Q2. Solve the following system of inhomogeneous linear equations:
4X3 + X4 = 1
2X1 + 2X2 – 2X3 + 5X4 = 1
5X1 + 5X2 - X3 + 5X4 = 2
Q3. (a) Solve the following systems of linear equations:
x + y = 1
2x – y = 5
3x + 4y= 2
(b) Given the following systems of linear equations:
y + 2z = 1
x – 3z = 1
(k^2 - 4)z = k - 2
Find the values of k for which the system has (i) a unique solution,
(ii) infinitely many solutions, (iii) no solutions.
Q4. Find the value t for which the following system is consistent and solve the system for this value of t.
x + y = 2
x – y = 0
3x – y = t
[ 本帖最後由 PinkyPYC 於 10-12-12 11:38 PM 編輯 ] |
|