- 閱讀權限
- 40
- 最後登錄
- 15-5-9
- 精華
- 0
- UID
- 1319833
- 帖子
- 1087
- 積分
- 1008
- 註冊時間
- 09-6-7
- 在線時間
- 278 小時
   
- UID
- 1319833
- 帖子
- 1087
- 積分
- 1008
- Good
- 6
- 註冊時間
- 09-6-7
- 在線時間
- 278 小時
|
1)若數據4,7,9,13,14,a,b的平均數和標準差分別是9和4,求剔除數據9後該組數據的標準差(用根式表示)
2)足球賽的分組賽,同組的任意2隊均要對賽2場,在其中一組,某隊在比賽2場後退出,若該組最後進行了32場賽事,問該組原有多支隊伍
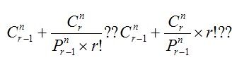
3) n C r-1 + n C r / n P r-1 x r! ,其中r是整數.且r小過等於n
4)有16個空格
a)在其中4格墳上黑色,可產生多少種不同的圖案
b)現有紅,黃,藍,紫,綠 5枝顏色筆.在其中5格塗上不同的顏色,可產生多少種不同的圖案
c)現在8枝不同顏色的顏色筆.在其中5格塗上不同的顏色,可產生多少種不同的圖案
d)現在8枝不同的顏色筆(不包括黑色).在(a)所得的圖案的其中5個餘下空格塗上不同的顏色,可產生多少種不同的圖案 a,b,c識 d 唔識
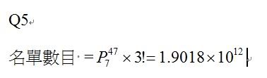
5) 小明打算從50首歌中選出10首,按演唱次序放入播放名單
a)己知50首歌中小明最喜愛a,b,c 這3首
i)若把a,b,c 放入名單內,可產生多少份不同的名單 (用科學記數法表示) |
|