2000FUN論壇

 

 

搜索
2000FUN論壇 綜合論壇 學生討論區 有條M1數想搵高人指教
返回列表 發新帖 回覆
查看: 3836|回覆: 1
go

[其他] 有條M1數想搵高人指教 [複製鏈接]

Rank: 1

UID
1520143 
帖子
13 
積分
17 
Good
0  
註冊時間
09-11-1 
在線時間
31 小時 
1#
發表於 11-1-1 02:09 AM |只看該作者 |倒序瀏覽 |打印
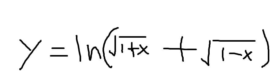
呢個係題目
搵dy/dx

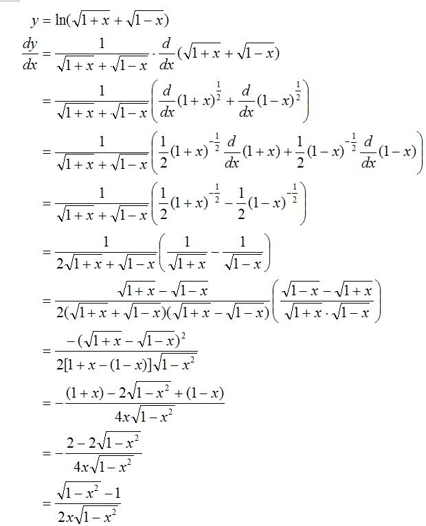
呢個係答案

我想要STEP..希望有人可以教下我
唔該哂

[ 本帖最後由 無名小哥哥 於 11-1-1 02:27 AM 編輯 ]

Rank: 9Rank: 9Rank: 9Rank: 9Rank: 9Rank: 9Rank: 9Rank: 9Rank: 9

UID
150752 
帖子
3947 
積分
4879 
Good
33  
註冊時間
04-1-30 
在線時間
5836 小時 
2#
發表於 11-1-1 05:55 PM |只看該作者
‹ 上一主題|下一主題
你需要登錄後才可以回帖 登錄 | 免費註冊

聯絡我們|Archiver| 2000FUN論壇

SERVER: 2 GMT+8, 26-5-30 03:09 AM , Processed in 0.035624 second(s), 11 queries , Gzip On.

Sponsor:工作間 , 網頁寄存

Powered by Discuz! X1.5.1

© 2001-2010 Comsenz Inc.