2000FUN論壇

 

 

搜索
返回列表 發新帖 回覆
查看: 2614|回覆: 5
go

[其他] summation [複製鏈接]

Rank: 1

UID
965580 
帖子
211 
積分
38 
Good
16  
註冊時間
07-9-23 
在線時間
284 小時 
1#
發表於 10-9-21 11:43 PM |只看該作者 |倒序瀏覽 |打印
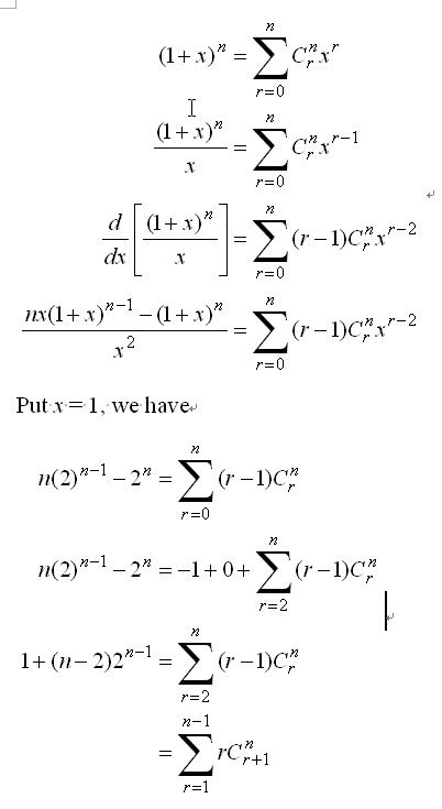
prove
n-1       n
Σ     r C         = 1+ 2^n-1(n-2)
r=1       r+1

Rank: 9Rank: 9Rank: 9Rank: 9Rank: 9Rank: 9Rank: 9Rank: 9Rank: 9

UID
150752 
帖子
3947 
積分
4879 
Good
33  
註冊時間
04-1-30 
在線時間
5836 小時 
2#
發表於 10-9-22 02:16 PM |只看該作者

Rank: 10

UID
1811569 
帖子
7862 
積分
15152 
Good
360  
註冊時間
10-7-20 
在線時間
1507 小時 

十週年勳章(賀詞) 十週年勳章(截圖) 笑傲無雙 忍影世界 玩過星曲WEB

3#
發表於 10-9-23 01:12 AM |只看該作者
超深的數學。

Rank: 1

UID
965580 
帖子
211 
積分
38 
Good
16  
註冊時間
07-9-23 
在線時間
284 小時 
4#
發表於 10-9-23 08:49 PM |只看該作者
thx,仲有一條
                n    n      n   n                    n     n
Let f(r)= C   C  +  C   C          +...+  C     C   
                0    r       1   r+1                n-r   n
by considering the expansion of (1+x)^2n provethat
f(r)=(2n)!/  (n+r)!(n-r)!

Rank: 10

UID
1811569 
帖子
7862 
積分
15152 
Good
360  
註冊時間
10-7-20 
在線時間
1507 小時 

十週年勳章(賀詞) 十週年勳章(截圖) 笑傲無雙 忍影世界 玩過星曲WEB

5#
發表於 10-9-23 10:10 PM |只看該作者
"36661124",你能解答嗎?我對於二項式是差到爆炸。

"abc...",你就等她的解答。

Rank: 9Rank: 9Rank: 9Rank: 9Rank: 9Rank: 9Rank: 9Rank: 9Rank: 9

UID
150752 
帖子
3947 
積分
4879 
Good
33  
註冊時間
04-1-30 
在線時間
5836 小時 
6#
發表於 10-9-24 07:39 PM |只看該作者
‹ 上一主題|下一主題
你需要登錄後才可以回帖 登錄 | 免費註冊

聯絡我們|Archiver| 2000FUN論壇

SERVER: 2 GMT+8, 25-10-23 08:53 PM , Processed in 0.039164 second(s), 11 queries , Gzip On.

Sponsor:工作間 , 網頁寄存

Powered by Discuz! X1.5.1

© 2001-2010 Comsenz Inc.