- 閱讀權限
- 60
- 最後登錄
- 11-10-10
- 精華
- 0
- UID
- 193968
- 帖子
- 7502
- 積分
- 4250
- 註冊時間
- 04-5-19
- 在線時間
- 4185 小時
     
- UID
- 193968
- 帖子
- 7502
- 積分
- 4250
- Good
- 64
- 註冊時間
- 04-5-19
- 在線時間
- 4185 小時
|
小弟係美國讀緊1yr college
呢2題係美國multi-variable calculus既extra credit problem
唔該各位高人幫幫忙 堅唔識做
show steps 麻煩哂
1. Let u,v and w be three vectors such that v and w are orthogonal and have the same length r, and let c(t) = u + (cost)v + (sint)w . Describe the motion of the tip of c(t) if the tail of c(t) is fixed at the origin. (That is, describe the parametric curve corresponding to c(t) .)
2.
圖link --> 
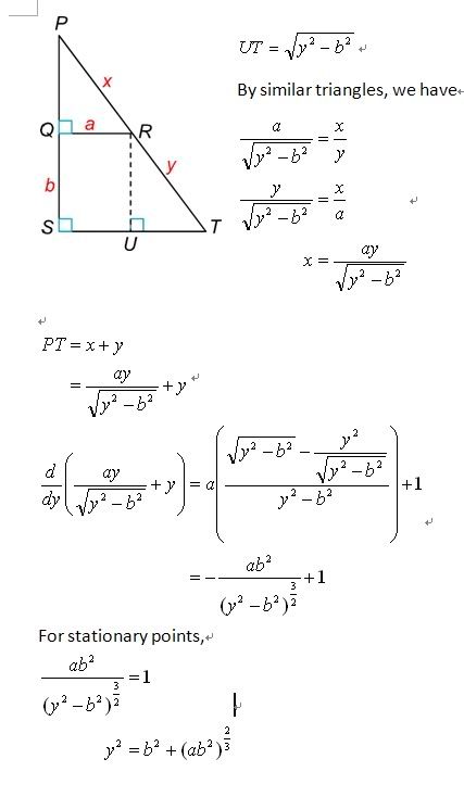
It desired to carry a long thin rod down a corridor [ b ] feet wide and around a square corner into another corridor [ a ] feet wide. What is the longest rod with which this can be managed if the rod is kept horizontal and is never bent?
括住果2個係variable黎 |
|